1965年,美G的扎德(Zadeh)教授撰寫了文章《Fu22ySet}),文中shou先提出模糊控制論。后來zadeh又提出了模糊語言變量,糊語言變量是重要的模糊邏輯概念。1968年,M而mes發表關于模糊邏輯的研究報告。到1974年,Zadeh對模糊邏輯推理進行深入研究,英G的Mamd耐**在工業控制中應用模糊理論,獲得了良好的控制效果,模糊控制理論從此迅速發展。英G、丹麥、荷蘭等G的自動控制研究人員從此也開始嘗試用模糊控制方法進行控制,包括十字路口的交通、水泥回轉窯、化學反應器、煉鋼轉爐、熱交換器等*域,并取得令人滿意的效果。中G的研究人員于1979年也開始研究模糊控制器,并在模糊控制器的電路實現方法、魯棒性、算法、定義、規則自整定、性能等方面碩果累累。1980年,日本熊本大學的山川烈試制成功世界上**個模糊集成電路。
1985年,能執行模糊推理的集成電路由美G的AT&T貝爾研究所試制成功。1989年,58萬FLIPS的模糊集成電路由德州儀器公司和美G的北卡羅來納州微電子中心生產。同時,FC110模糊推理集成電路也由美G的TIL公司開發出。1991年,美G的Neuralogix公司向市場推出多種模糊集成電路,其中投入市場的一款模糊單片機NLX23O**引人注目,成為模糊單片機進入適應階段的標志。
模糊控制的特點
模糊控制是模糊邏輯在控制*域中應用[`4J,模糊控制**大特征是,它能將操作者或**的控制經驗和知識表示成語言變量描述的控制規則,然后用這些規則去控制系統。“如果…則…”是規則的基本形式,語句的前半部分是條件或前提,后半部分是結果。控制作用集由一組條件語句構成,控制作用和狀態條件分別為一組模糊語言集,如“大”,“小”,“強”,“弱”,“正常”等。模糊控制的一般結構如圖2一1所示。
模糊控制相對于常規控制具有以下優點:
(l)控制機理符合人們對過程控制的思維邏輯和直觀描述。
(2)控制的實時性好。
(3)模糊控制魯棒性強,被控對象參數的變化對其影響不明顯,對非線性、時變、時滯系統的控制普遍適用。
(4)模糊控制的實現無需建立數學模型,完全建立在操作人員控制經驗的基礎上就能夠有效解決不確定性系統的控制。
模糊控制的系統構成
模糊控制系統一般包括糊控制器、輸入/輸出接口裝置、廣義對象和傳感器四個主要組成部分[l5]:
(l)傳感器:傳感器是將被控過程或被控對象的被控制量轉換為電信號的一類裝置。被控制量通常為非電量的形式,如溫度、濕度、濃度、光強等。獲取的電信號可以是模擬量或數字量。傳感器的精度對整個控制系統的精度**關重要,因此,傳感器購買時應選擇穩定性好且精度高的產品。
(2)廣義對象:主要包括執行機構及被控對象,被控對象有多種類型,可以是有時滯或無時滯的,時不變或時變的,線性或非線性的,也可以是單變量或多變量的以及有強干擾等。模糊控制適用于缺乏精確數學模型的被控對象,但對有較精確數學模型的被控對象并不排斥。
(3)輸入/輸出接口裝置:通過輸入接口,模糊控制器從被控對象獲取模擬信號量,進行模數轉換和信號處理后,將模糊控制器決策運算出的數字信號做數模變換,得到的模擬信號由執行機構輸出,從而實現對被控對象的控制。在輸入/輸出接口裝置中,除模/數、數/模轉換外,電平轉換線路也是必需的,用于提供所需電源。
(4)糊控制器:根據控制系統的需求,既可選用單板機,又可選用系統機。
其本質是一臺微計算機。
模糊控制的數學基礎
模糊控制基于模糊邏輯,而模糊邏輯是建立在模糊數學的基礎上的。模糊集合和隸屬函數是模糊數學中**重要的概念和定義〔`“]。
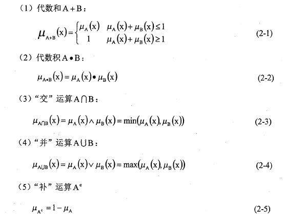
模糊集合及其運算
在普通集合論中,任意元素與集合的關系只有“屬于”或“不屬于”兩種情況之一,界限明確。相對而言,邊界不明確的集合就是模糊集合。例如善良和邪惡之間無法辨別明顯的界限,所以“善良”和“邪惡”都是模糊集合。所以,模糊集合的概念可總結為:一般而言,在不同程度上具有某種特定性質或特征的所有元素的總體稱為一個模糊集合。
模糊集合只能指出某個個體元素屬于集合的程度,而不能像普通集合那樣明確指出_這個個體元素是否屬于該集合,因此用隸屬函數(membershipfimction)來描述[1刀,也稱隸屬度。
對論域U上的模糊集合,通常采用的表達方式有:Zadeh表示法,向量表示法,序偶表示法,函數描述法。確定隸屬函數的方法主要有:經驗法,分析推理法,調查統計法。
模糊集合特性主要包括以下幾點:

對模糊集合運算時,注意要有同等個數的集合元素參加運算。模糊集合的運算可分為代數運算和邏輯運算,主要有以下幾種:
模糊集合的運算滿足的基本規律有:交換律,結合律,分配律,`傳遞律,冪等律,摩根律,復原律。由于模糊集合及其補集均沒有明確的外延,所以模糊集合運算不滿足互補律。
模糊語言
語言是一種符號系統,人們用自然語言表示主客觀世界的各種事物、觀念、行為和情感的意義,自然語言中常含有模糊概念,這種語言稱為模糊語言,例如“恒溫恒濕
培養箱的溫度很高”。模糊語言用來表達一定論域的模糊集合,其任務是對人類語言進行定量化['“]。
以自然語言中的字詞或句作為變量,該變量稱為語言變量。語言變量的值稱為語言值。例如
培養箱恒溫控制中,“小”、“較小”、“偏大”、“很大”、“極大”等作為語言變量,“溫度偏差”、“溫度偏差變化率”的值。一個語言變量可以定義為多元組。
模糊條件語句
模糊命題是指含有模糊概念或者帶有模糊性的陳述句,常用大寫字母表示,如“A:
培養箱溫度偏低”、“B:增大電熱管輸出功率”。模糊控制是建立在二系列模糊控制規則基礎上的,這些規則是人對被控對象進行控制時的經驗總結,是用模糊語言表示的,常用條件語句的形式表示,簡寫為“ifAthenB”。對培養箱恒溫控制系統,條件A為系統輸入,B為系統輸出,與“如果培養箱溫度偏低,那么增大電熱管輸出功率”的控制策略相對應。
模糊推理
在模糊控制中,模糊推理又稱模糊邏輯推理,它是一種以模糊判斷為前提,運用模糊語言規則,推出一個新的近似的模糊判斷結論的方法。Mamd耐推理法是模糊控制中普遍使用的方法,本質上是一種合成推理方法,只不過對模糊蘊含關系A一B用A和B的笛卡爾積表示,即有R==A一B=AxB